登录
加入联盟
找回密码
航空人生
新一代连飞客户端下载
空管人生
中国航空运动协会推荐
WEFLY
模拟飞行玩家聊天工具
门户
文章
商城
二手市场
外包服务
模飞软件
硬件设备
飞行体验
学院
云课堂
问答
资料下载
论坛
模拟飞行
低空飞行
太空探索
星圈
资源
企业
太空探索论坛
»
论坛
›
太空穿越
›
卫星
›
“北斗”卫星导航定位系统由地球静止轨道卫星(同步卫星) ...
返回列表
发新帖
查看:
619
|
回复:
1
“北斗”卫星导航定位系统由地球静止轨道卫星(同步卫星)常界、中轨道...
[复制链接]
赋明通
赋明通
当前离线
积分
1745
窥视卡
雷达卡
490
主题
607
帖子
1745
积分
金牌飞友
金牌飞友, 积分 1745, 距离下一级还需 1255 积分
金牌飞友, 积分 1745, 距离下一级还需 1255 积分
积分
1745
飞币
1136
注册时间
2017-7-6
发消息
发表于 2025-3-2 11:39:33
|
显示全部楼层
|
阅读模式
“北斗”卫星导航定位系统由地球静止轨道卫星(同步卫星)、中轨道卫星和倾斜同步卫星组成.地球静止轨道卫星和中轨道卫星都在圆轨道上运行,它们距地面的高度分别约为地球半径的6倍和3.4倍,下列说法中正确的是( )
A. 静止轨道卫星的周期约为中轨道卫星的2倍
B. 静止轨道卫星的线速度大小约为中轨道卫星的2倍
C. 静止轨道卫星的角速度大小约为中轨道卫星的
D. 静止轨道卫星的向心加速度大小约为中轨道卫星的
同步卫星
,
轨道
,
卫星
,
常界
,
静止
相关帖子
•
被星链卫星夹在中间的空间站怎样保安全?中国空间站为什么斜着飞
•
【4K60帧】放松解压:小红车户外连接“星链”卫星玩《怪物猎人 荒野》车中泊 | 作者:Dentan
•
【2025.3.31日】特朗普称有办法开启“第三任期”,并威胁对伊朗发动空袭;土耳其抗议愈演愈烈,推动埃尔多安下台;欧洲首个轨道运载火箭失败
•
比较一下低轨道,中轨道,高轨道,同步轨道卫星的宣笔朝高度。排序并给出具体...
•
轨道低于地球同步卫星的一颗卫星,它的周期与地球周期相比,哪个大呢?
•
卫星刚刚在月球上发现了一个未知结构
•
揭秘!激光卫星如何颠覆传统卫星通信 简介:本文围绕激光卫星与传统卫星的区别展开,从通信技术、载荷设备等多维度深入剖析,介绍二者特性与应用差异,探讨激光卫星…
•
【天文】一颗碎片卫星?——海卫八普罗丘斯
•
卫星题目总出错?一个视频讲清楚天体卫星所有题型!!!(高中物理万有引力)
回复
使用道具
举报
提升卡
置顶卡
沉默卡
喧嚣卡
变色卡
千斤顶
照妖镜
nanshi00
nanshi00
当前离线
积分
1683
窥视卡
雷达卡
64
主题
797
帖子
1683
积分
金牌飞友
金牌飞友, 积分 1683, 距离下一级还需 1317 积分
金牌飞友, 积分 1683, 距离下一级还需 1317 积分
积分
1683
飞币
882
注册时间
2017-8-28
发消息
发表于 2025-3-2 11:47:56
|
显示全部楼层
spanA
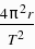
<div class="answer-content-jiexi">解析:解:根据万有引力提供向心力
=ma=m
=mω2r=
,
A、T=2π
,它们距地面的高度分别约为地球半径的6倍和3.4倍,即轨道半径分别约为地球半径的7倍和4.4倍,
所以静止轨道卫星的周期约为中轨道卫星的2倍,故A正确;
B、v=
,所以静止轨道卫星的线速度大小小于中轨道卫星的线速度大小,故B错误;
C、ω=
,静止轨道卫星的角速度大小约为中轨道卫星的0.班得宗六球训53,故C错误;
D、a=
,静止轨道卫星的向心加速度大小约为中轨道卫星的0.4倍,故D错误.
故选:A.
回复
支持
反对
使用道具
举报
照妖镜
返回列表
发新帖
高级模式
B
Color
Image
Link
Quote
Code
Smilies
您需要登录后才可以回帖
登录
|
加入联盟
本版积分规则
发表回复
回帖后跳转到最后一页
浏览过的版块
视频专区
天文学
科幻与文学
航天娱乐和爱好
太空设备
太空游戏
小行星和彗星
运载火箭
火星
快速回复
返回顶部
返回列表