查看: 1252|回复: 0

SpaceX火箭回收负责人 Lars Blackmore :软着陆最优控制问题的非凸控制约束与指向约束的无损收敛性

[复制链接]

463

主题

588

帖子

1685

积分

金牌飞友

Rank: 6Rank: 6

积分
1685
飞币
1094
注册时间
2017-8-4
发表于 2025-1-24 18:51:31 | 显示全部楼层 |阅读模式
机器人规划与控制研究所 ——机器人/自动驾驶规划与控制方向综合、全面、专业的平台。2万人订阅的微信大号。点击标题下蓝字“机器人规划与控制研究所”关注,我们将为您提供有价值、有深度的延伸阅读。


”精确着陆可以增强对太阳系的探索,并使火箭能够加油和重复利用。“——SpaceX 猎鹰9号着陆负责人 Lars Blackmore



最近似乎火箭垂直回收(软着陆)成为了笔者关注的热点,上周日,看到了一则新闻:10公里到75公里测试—龙行二号可重复回收失败了。回想当年马斯克的猎鹰九号(SpaceX Falcon 9 )号火箭回收的失败,国内一片哗然,有嘲讽的声音,有支持的声音。若干年后的今天再来看这件事,我们应该对那些探索性尚且未成功的科学技术持有敬畏的态度,说不定就会改变了它所在的领域的现有的局面。
是的,马斯克的spaceX火箭回收技术就引领了现在的火箭潮流,改变了现有的航天技术局面。火箭回收可以降低发射成本,正如SpaceX 猎鹰9号着陆负责人 Lars Blackmore所说—”精确着陆可以增强对太阳系的探索,并使火箭能够加油和重复利用。”前段时间笔者发布了一篇文章导航制导与控制——猎鹰 9 号在动力下降和着陆过程中的控制算法,这里并没有介绍具体的技术细节。本文找到了SpaceX 猎鹰9号着陆负责人 Lars Blackmore十多年前在麻省理工学院做的行星软着陆问题的发表的文章《Lossless Convexifification of Nonconvex Control Bound and Pointing Constraints of the Soft Landing Optimal Control Problem》,这篇文章推测是与SpaceX火箭有关,但并不一定是,请各位读者先读导航制导与控制——猎鹰 9 号在动力下降和着陆过程中的控制算法这篇文章,然后再结合这篇文章自行判断与当前SpaceX火箭回收技术的关联性。另外,需要说明的是,本文最多是推测SpaceX的火箭回收技术的理论,距离工程落地,真正实现火箭落地,有相当长的距离,工程落地是一个很复杂的过程,需要耗费巨大的人力物力和财力。

video: https://mp.weixin.qq.com/mp/readtemplate?t=pages/video_player_tmpl&action=mpvideo&auto=0&vid=wxv_3814373070032601089
下面开始正文。

1 摘要

行星软着陆是最优控制理论的基准问题之一,由于越来越注重探索太阳系中的行星,如火星,正在重新引起兴趣。所有相关约束的软着陆问题可以作为具有状态和控制约束的有限范围最优控制问题提出。由于对燃料、控制输入和状态的限制,在行星表面实时生成规定位置的燃料最佳路径是一个具有挑战性的问题。解决这一约束问题的主要困难在于控制输入上存在非凸约束,这是由于控制输入幅度上的非零下限及其方向上的非凸约束。本文介绍了被证明是无损的控制约束的对流;一、也就是说,软着陆问题的最佳解决方案可以通过问题的拟议凸弛豫的解决方案获得。无损对流允许使用内点凸优化方法,以获得原始非凸最优控制问题的最优解。

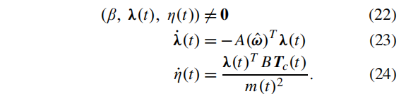
2 概述

行星软着陆是最优控制理论的基准PROB LEMS之一,由于越来越关注太阳系行星的探索,它正在获得新的兴趣。近期任务的主要重点是科学感兴趣地点的软土地,也被称为精确或尖峰登陆。软着陆是行星EDL(进入、下降和着陆)的最后阶段,也被称为动力下降着陆阶段。在动力下降阶段,通过使用提供控制权限的推进器,尽可能接近行星表面的规定位置。当车辆相对于地面以零速度行驶时,即“软着陆”时,将燃油最优推力曲线设计为时间函数的问题,使车辆尽可能接近推力和着陆车辆状态限制下的规定目标,是有限地平线最优控制问题,称为“软着陆”。在本文中,我们提出了一种算法,称为动力下降引导算法,用于基于问题的无损对流计算软着陆问题的最优解。

动力下降引导算法通过同时满足控制物理、推力边界、位置和速度约束等约束,将土地误差降至最低。此外,行星动力下降的短持续时间要求在船上实时快速执行引导算法,并确保在存在时找到解决方案。然而,由于控制约束,软着陆动力下降制导问题是一个原始形式的非凸有限地平线最优控制问题。点火后,下降推进器不能关闭,因此引导算法必须生成有效的推力矢量,推力幅度为零最小值和最大值。这是控制输入上的非凸约束。此外,用于地形相关导航的船上传感器通常需要特定的观察方向,这限制了允许的航天器方向,因此推力矢量指向方向,这是不凸的另一个来源。本文的主要贡献是制定原始最优控制问题的凸弛豫,并表明弛豫问题的最优解对于原始问题也是最优的。我们将此称为原始控制问题的无损对流,因为没有任何可行区域被移除,放松问题的最优解定义了原始问题的最优解。注意,许多非凸最优控制问题可能是凸的,但保证凸是无损的并不总是可能的。更具体地说,一个可以通过两种明显的方式对流化问题:

1)将可行解集限制为可行集的凸子集,

2)将可行解集松弛为包含原始可行解集凸集。

第一种方法在实际最佳成本上产生了一个可行的原始问题解决方案,第二种方法在最佳成本上产生了较低的约束,但一般来说,不一定能提供原始问题的可行解决方案。第一种方法在可实现的最佳成本范围内有损失,第二种方法有损失,因为它不一定提供可行的解决方案。我们的对流遵循第二种方法,但我们保证对原始问题有一个可行且最佳的解决方案。因此,我们对控制约束的对流是无损的。非凸性的另一个来源是动力学中存在时间变化质量,这是通过[1]中变量的变化来解决的。许多先前的工作为动力下降引导问题的变体提出了解决方案,包括[1]-[8]和[9]。在[3]中,软着陆问题的1-D版本以封闭形式进行了分析解决。

然而,该解决方案不能扩展到具有状态或con-trol约束的3-D问题。一种现有的解法是我们的凸优化方法[1][2],它提出了作为二阶锥程序(SOCP)的最小燃料动力下降引导问题。这个优化问题可以使用现有的内点法(IPM)算法在多项式时间内解决,该算法具有规定精度水平的确定停止标准。也就是说,全局opti mum可以以任何给定的精度计算,具有先验已知的上界,即问题大小的多项式函数,关于收敛所需的迭代次数。此外,如果存在SOCP的IPM算法,则保证找到可行的解决方案[10]-[13]。这与其他方法形成对比,这些方法要么通过忽略问题的约束来计算闭式解[5],[14],要么提出解决船上非线性优化[6],[7],要么解决不最小化燃料使用的相关问题[8]。

封闭形式的解方法导致解不遵守问题中固有的约束,如无地下飞行约束。这意味着在生成解决方案后必须明确检查约束,并且拒绝任何违反约束的解决方案。在实践中,这将可能返回目标的区域的大小减少了五倍或更多[15],并且所提出的方法在数值上是稳健的,正如独立观察到的那样[16]。另一方面,非线性优化方法不能先验地保证需要多少迭代才能找到可行的轨迹,也不能保证找到限制其船上适用性的全局最优值。有关凸优化方法与替代方法的比较,请参见[9]和[15]。在本文中,我们统一了[1]、[2]、[17]的凸优化方法,并将其扩展到处理推力指向约束。

在对流非凸推力指向约束的问题时,我们对建立与“正常系统”连接的问题进行了几何洞察。正态线性系统是在最优控制理论的背景下定义的,其中,如果系统在一组可行控制的单个点上最大化哈密顿值,则该系统在一组可行的控制方面被称为正态。在可行控制集为凸的情况下,一个正常的系统意味着哈密顿数在集合的极端点最大化。

我们的对流结果具有类似的几何解释,因为它通过确保哈密顿量在松弛的一组可行控制的投影的极端点上最大化来建立无损对流。因此,这一组似乎包含在原始的非凸可行控制集中,因此我们可以通过解决其凸弛豫来获得原始非凸问题的最佳解决方案。软着陆问题无损对流的理论发展允许应用凸优化的IPMS[10]-[12][19],这可以用多项式时间收敛保证可靠地解决这些问题。此外,快速实时凸优化领域的兴趣激增[20]-[22]已证明IPMS的计算速度加快了几个数量级。这一领域的进展将大大提高IPM的实时计算效率,从而使其能够用于行星软着陆。

A.部分符号列表

R是实数的集合;一个条件在区间中几乎都存在。[a,b]如果[a,b]中该条件不成立的点集合在度量为零的集合中;

是n维实

是向量v的2范数;0是0的矩阵;I是单位矩阵;ei是列向量,其项为1,其他项为零;

表示通过增强向量

得到的向量,有

,∂S表示边界点集,int S表示集合S的内部。

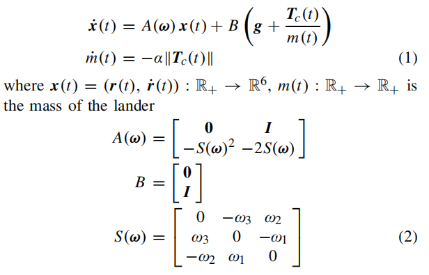
3 具有推力指向约束的行星着陆

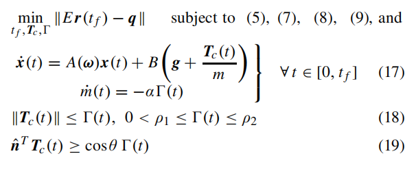
行星软着陆问题搜索推力(控制)剖面Tc和伴随的平移状态轨迹(R,R˙),该轨迹引导着陆器从初始位置R0和速度Rᲃ0到行星上规定目标位置的静止状态,同时最小化燃料消耗。该问题考虑了恒定旋转速率(角速度)、均匀重力场和着陆动力下降阶段可忽略的气动力的行星。当目标点无法从给定初始状态到达时,应考虑精确着陆问题(或最小着陆误差问题),目标是首先找到目标最近的可到达表面位置,其次获得该最近点的最小燃油状态轨迹。我们制定了一种优先优化方法,在统一框架下处理两个问题,然后称之为行星软着陆问题。在这个问题中,存在几个状态和控制冲突。主要状态约束是位置向量上的滑动斜坡和速度向量大小上的上界约束。滑翔坡度限制如图1所示,并要求确保着陆器与地面保持安全距离,直到到达目标。速度的上限需要避免有大气的行星的超音速,在那里控制推进器可能变得不可靠。这两个约束都是凸的,非常适合本文所考虑的凸优化框架。然而,控制约束自定义非凸集以来一直具有挑战性可行的控制。我们有三个控制约束(见图2)。给所有任何机动时间(飞行时间)t∈[0,tf]。

1)推力上凸上界,



2)推力下的非凸下界,

.

3)推力指向约束

,其中n=1是方向向量,0≤θ≤π是最大允许偏差角方向由θn给出,当θ≤π/2时为凸。当θ>π/2时为非凸。

用于地形相对导航的板载传感器通常需要特定的查看方向,这对车辆的方向(姿态)施加了限制。由于我们将车辆建模为一个具有推力矢量的点质量,因此通过将推力矢量指向所需的力方向来施加所需的控制力。在这个框架中,我们可以通过简单地限制推力矢量可以指向的方向来对车辆的方向施加约束。这也避免了将车辆的姿态动力学纳入问题公式中,否则将显著增加问题的复杂性。明确地考虑姿态动力学并直接施加指向约束,而不是对推力方向,可以成为未来研究的一部分,这可以受益于最近对约束姿态控制[23]的凸化结果。如前所述,着陆器被建模为一个带有推力矢量的集中质量进行控制,其动力学被描述为:




是行星恒定角速度的矢量,

是恒定重力矢量,α > 0是描述燃料消耗(质量消耗)率的常数。在这里,矢量量的时间导数被表示在一个具有行星角旋转速率的行星表面固定框架中,我们还使用了火箭方程,它将燃料质量消耗率与应用的推力矢量[24]联系起来。

我们使用着陆飞行器的集中质量刚体模型,其中平动动力学与旋转(姿态)动力学解耦。这是在实践中经常使用的一个假设,主要是因为姿态控制权威的带宽通常比平移权威的带宽要高得多。

具体来说,任何需要将推进器指向正确方向进行平移控制的姿态机动都可以非常快地完成,这样姿态和平移控制系统之间的相互作用就最小了。因此,这是一个合理的假设,它大大降低了问题的复杂性。根据约束条件、动力学和表面上的目标位置

,其中

表示目标在零高度的坐标,行星软着陆问题可以表述为优先优化问题如下。

问题1(非凸最小着陆误差问题):



问题2(非凸最小燃油问题):



在问题2中

是求解问题1得到的最优代价的最终位置,即

是表面上与目标位置q最近的可达点,mf是可用燃料,m0是着陆器的初始质量,以及:



我们使用X来定义航天器的一组可行位置和速度,即滑翔坡度限制和Vmax给出的最大允许速度限制。



其中c在r(tf)处指定了一个具有顶点的可行圆锥体:



这里,γgs为最小滑坡角,如图1所示。滑坡约束(12)确保到达目标的轨迹不能太浅或进入地下。X是一个凸集,为了完备性,我们给出了X内部的标准定义。



X的边界由∂X{x∈X:x/∈intX}给出。公式(7)定义了着陆器的初始质量,并确保使用的燃料不超过可用的燃料。式(8)定义了着陆器的初始位置和速度,而(9)限制了最终的高度和速度。飞行时间tf是一个优化变量,并不是先验固定的。



图1 最小着陆错误动力下降引导问题中的滑动坡度约束。这一限制要求航天器保持在由最小斜角γ定义的锥形内。在最小着陆误差情况下,圆锥体的顶点与航天器的着陆位置一致,而不是原始目标。

软着陆问题的解决方案是通过解决问题1和2实现的。这种两步优先排序方法的动机非常直观。本文考虑的行星着陆问题的主要目标是尽可能接近给定目标着陆车辆,即尽量减少问题1中的着陆误差。这个问题可能有多个最佳解决方案,但我们有第二步,在那里我们找到消耗最少燃料的最小误差解决方案,如问题2所示。



图2 (a)原始推力边界的平面表示,推力边界和推力指向极限的交集:(b) θ∈(π/2,π)和(c) θ∈[0,π/2]。

备注1:在问题2中,对最终立场的限制是由不平等造成的(11)。这一限制也可能是以下选择之一:



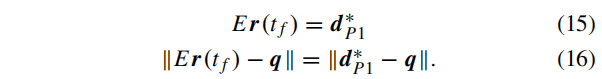
第三种选择是(11)给出的约束,它是第二种选择的凸松弛,它将末端位置严格包含在这个圈内(见图3)。显然,我们永远无法计算出一个严格的最终位置的解,因为这个圆的半径是到目标的最小可实现距离。我们有两个动机来使用第三个选项:

1)得到最小的燃料解,使其最终位置尽可能接近期望的目标;

2)得到问题2的所有约束都是凸的。

为了实现这两个目标,让f1表示问题2的所有可行解,(11)代替(15);f2是对应的集合,(11)代替(16),Fe是问题2的集合。然后就可以直接注意到F1⊆F2⊆Fe。

此外,我们有F2 = Fe。这是由于不等式(11)不排除末端位置在圆上的解,因此我们不能进入圆内。现在,由于F1⊆F2,上面的第二种选择将产生使用最小燃料轨迹的解决方案,并尽可能接近目标结束。所以最好的选择是使用第二个选择。但是

是一个关于末端位置的非凸约束。由于F2 = Fe,我们可以简单地用凸不等式(11)代替这个非凸约束。因此,我们实现了两个主要目标:

1)明确地优先考虑可实现距离和燃料;

2)凸化这两个问题,以便通过IPM算法在多项式时间内求解为全局最优性。

请注意,我们通过系统的成本优先级化来实现这两个目标。这种优化问题中的优先排序成本也被称为词典目标规划[25]。

解决问题1和问题2的一个关键挑战是(6)中推力幅度的下界ρ1 > 0,这意味着允许的推力值的集合是非凸的(见图2中的第一个插图)。此外,当ρ1 = 0时,推力边界约束是凸的;但是,由于(6)中的推力指向约束,控制约束仍然可以是非凸的,这对于θ > π/2是非凸的(见图2中的第二和第三个图)。这些非凸控制约束阻止了直接使用凸优化技术来解决这个问题。此外,(4)中的质量消耗动力学˙m(t)定义了一个非线性微分方程,当离散时会导致非凸性的非线性等式约束。



图3 问题2中最终位置的凸松弛

[1]中的关键结果包括对非凸推力约束的松弛和处理质量消耗动力学的方法,这提供了问题2的松弛版本。这个放松问题的最佳解决方案也被证明是问题2的最佳解决。然而,[1]的对流结果不保持在任何推力指向约束的存在下,包括θ∈[0,π/2]时。本文扩展了控制约束的对流,以保持推力指向约束。我们还证明,对流仍然与行星的自转有关。

在放松的问题中,我们有以下控制约束:

1)凸上界,Tc (t)≤(t);

2)凸推力指向约束ˆnT Tc (t)≥(t) cos θ;

3)松弛变量上的凸边界,ρ1≤(t)≤ρ2。

松弛指向约束在tc空间中形成了有效推力值的半空间

,指向向外正向半空间的方向,由

,给出,它直接来自于上述的松弛凸指向约束不等式。图4中说明了几个指向角度(θ = {180、90和0°})的半空间约束,它使用了推力(即二维推力)的平面表示,沿Tc (1)轴的指向向量ˆn。证明了松弛的约束集是凸的。

4 无损凸优化

我们提出了以下松弛最小误差和燃料最优控制问题,即问题1和2的凸松弛。

问题3(凸松弛最小着陆误差问题):



问题4(凸松弛最小燃料问题):



其中

是问题3的最终最优位置。请注意,问题1和2的(6)中的非凸推力约束已被问题3和4中的凸约束(18)和(19)所取代。在[1]中,我们证明了推力边界上的约束松弛(18)允许问题4的离散时间形式被定为凸优化问题;同样适用于凸推力约束(19)。因此,我们将在本文中不讨论这个问题的离散化,请读者参考[1]。

定义1: Fe和Ff表示问题1和问题2的可行解的集合,即{tf、Tc、x、m}∈Fe,如果它满足问题1的所有状态(5)、控制(6)和燃料(7)约束、动力学(4)和边界约束(8)和(9),Ff也一样。F∗e和F∗f是相应的最优解集。Fre和Fr f是问题3和问题4的可行解集{t f、Tc、x、m},F∗∗和F∗rf是最优解集。

引理1:以下保持:



证明:1)中的前两个关系很容易证明。接下来的两种关系将从前两种关系开始。考虑Fr f的一个子集,定义为¯Fr f,由Fr f的所有解组成,这样(t) = Tc (t),∀t∈[0,t f ]。因为{t f,Tc,,x,m}∈¯Frf,其中Tc (t) = (t),满足问题2的所有动态和约束,{t f,Tc,x,m}∈Ff。这就证明了2)。因此,由于问题4与Tc =和问题2的代价函数是相同的,因此该定理的最后一个陈述如下。

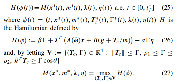
为了利用引理1,我们需要计算问题4的一个最优解,并检查(t) = Tc (t) ∀t∈是否[0,t∗f]。但在数值计算解之前,我们事先不知道是否满足这个条件。下面的定理证明了这个条件确实会得到满足,需要注意的是,这个问题可能需要通过引入和ˆω来稍微修改。它还提供了对[1]和[2]中早期结果的推广,以处理推力指向约束以及推力大小的非零下界。因此,它建立了在最小燃料软着陆问题、问题2和问题1中的控制约束的无损凸化。

定理1:考虑用ω代替ˆω的问题4,其定义如下:



其中,ˆn⊥是一个单位向量,使ˆnTˆn⊥= 0,N∈R3×2的列跨越了ˆnT的空空间,而>0是一个(任意小的)实数。设{t∗f,Tc∗,∗,x∗,m∗}∈F∗rf,使相应的状态轨迹x∗(t)∈intX ∀t∈[0,t∗f]。然后{t∗f,Tc∗,x∗,m∗}∈F∗f与ˆω。

证明:此证明使用了在附录中给出的引理2和3。让˜q:=Er∗(t∗f)。然后我们还可以考虑{t∗f,Tc∗,∗,x∗,m∗}作为问题4的最优燃料解,其中约束Er(t f)−q≤d∗P1−q被Er(t f)=˜q取代。因此,在不丧失任何一般性的情况下,在这个证明中将使用这个版本的问题4。由于x∗(t)∈intX和m (t) > m0−mf为所有的t∈[0,t f ],最优控制的最大原则[见[18,秒]。或[26、Ch]。1]],存在一个常数的β≤0和绝对连续的函数λ:R+→R6和η:R+→R,共态向量,使以下条件成立。

1)共同状态条件:∀t∈[0,t∗f]



2)点最大原理:



3)横向条件:



最优性的必要条件1)和2)直接遵循最大原则的陈述。但横向条件需要进一步解释。Transver唾液状况意味着(见[18,第190页,第v.3节]),对于松弛问题的最佳解决方案,向量ψ由:



必须与由(0、tf、x0、m0、(0、˜q、0)、m(t∗f))描述的可行初始状态和最终状态集定义的流形正交,它由span {e2,e14}给出。以上结论是因为tf和m(t f)是边界条件流形中唯一的自由变量。这就意味着e2T ψ = 0和e14 T ψ = 0,即H(φ(t∗f))=0和η(t∗f)=0。接下来我们来展示一下:



这将由矛盾来实现。假设该条件(29)不成立。由于y是由(23)给出的系统的输出,y (t) = 0,∀t∈[0,t∗f]或y (t) = 0出现在[0,t∗f]中的可数点上,这是根据引理2的第一个结论得出的。假设y (t) = 0 ∀t∈[0,t∗f]。请注意,这对[A(ω),B]是可控的,这源于[BA(ˆω)B]是一个可逆矩阵的事实。因此,这对生物体(BT,−A(ˆω)T)是可观察到的。因此,y (t) = 0 ∀t∈[0,t∗f]意味着λ(t) = 0 ∀t∈[0,t∗f]。因此,˙η(t)=0∀t∈[0,t∗f]。由于η(t∗f)=0,这就意味着η(t) = 0 ∀t∈[0,t∗f]。这些意味着H(φ(t))= β (t)。由于H(φ(t∗f))=0和(t)≥ρ1 > 0,这表明β = 0。因此,(β,λ(t),η(t))= 0 ∀ t∈[0,t∗f],这与上面的必要条件1)相矛盾。因此,在[0,t∗f]中有可数的点,其中y (t) = 0。由于可计数集的度量为零,因此条件(29)成立。

由于任何可数集的测度都为零,引理2的第二个结论意味着:



由于条件(29)成立,因此a.e.。[0,t∗f],使y (t) = 0,并且对于一个给定的∗(t),必须满足一个最优的控制推力Tc∗(t).



其中U:= {Tc∈R3:Tc≤,ˆnT Tc≥cos θ}。此外,由于条件和(30)成立,因此,a.e.。[0,t∗f],对于某些α(t) > 0的y (t) = 0和y (t) =−α(t)ˆn,(31)的最大化解必须在U(∗)的边界点上,这也是集合U(∗)的极值点,遵循引理3。这个引理还暗示了集合U的所有极值点都满足Tc =,因此也满足Tc∗(t)=∗(t)



这意味着松弛问题(4)的一个最优解满足:



因此,(t∗f,tc∗,x∗,m∗)∈∗f。因为对于任何(t f,Tc,x,m)∈Ff,(t f,Tc,Tc,x,m)∈Fr f,问题4的最优解具有最优代价,不大于问题2的最优代价。这意味着(t∗f,Tc∗,x∗,m∗)∈F∗f来自引理1。上述定理表明,我们可以通过求解问题4中的松弛来找到问题2的最优解。显然,对于ω=ˆω,我们可以通过求解原始感兴趣的问题的松弛来找到它的精确最优解。当ˆω=ω时,我们可以通过简单地选择>0来找到一个可以任意接近目标问题的问题的最优解。同样,当θ = π时,即当没有指向约束时,我们可以使用任何单位向量,使ω=ˆω。因此,我们可以找到所感兴趣的原始问题的精确最优解。

这一结果与“正常系统”有关[18]。正常线性系统是在最优控制理论的背景下定义的,如果线性系统在一组可行控制的单个点上最大化哈密顿值,则线性系统在一组可行的控制方面是正常的。在该集为凸的情况下,一个正常的系统意味着哈密顿数在一组可行控制的极端点最大化(见[18,Coroll.7.2])。我们的对流结果具有类似的几何解释,因为它通过确保哈密顿量在可行控制的松弛集投影的极值点最大化来建立无损对流。这一组似乎包含在原始的非凸可行控制集中,从而确定我们可以通过解决其凸弛豫来获得原始非凸问题的最佳解决方案。上面提到的松弛控件集的投影集,u,由



对于θ∈[0,π/2]和θ∈(π/2,π),设置U及其极点如图5所示,可以观察到它的极点满足Tc =,从而导致问题2通过问题4凸化。实际上,定理1确定了问题4的任何最优解都必须位于U(∗)的极值点上,然后从引理1得到凸化。注意,在U()的内部或在一个不是U()的极端点的边界点上,会导致推力向量对原始问题不可行,即问题2。但是,如前所述,集合的一个极点满足Tc =,因此在问题2的可行控制集合中。由于我们的结果证明了松弛问题的最优解发生在极值点上,因此它保证了所得到的推力向量总是可行的。结合引理1和定理1,我们提出了以下解决软着陆问题的两步算法:

1)用ˆω求解问题3,获得dP3;

2)用ˆω和dP3求解问题4。

在ˆω!=ω的情况下,上述算法将对一个来自原始动态的动态轻微扰动的问题产生最优解。由于纯粹的理论原因,这是必要的,我们还没有从经验上遇到任何需要这种扰动的情况。

如前所述,松弛问题中非共无性的一个更良性来源是动力学中存在1/m项乘以推力矢量。这导致系统动力学中的非线性,从而导致优化问题导致非凸相等约束。这一困难将如[1]所述解决,并在下一小节中简要解释。

以上两个步骤都需要连续解决最佳控制问题。这些解决方案是通过离散化问题(下一节中给出的变量变化)来获得其离散时间近似值,即凸参数优化prob LEMS:更具体地说,SOCP问题。通过IPMS以数字方式解决SOCP,以便在两个步骤中获得最佳控制问题的解决方案。这种离散化在[1]中进行了解释。定理1确保当状态轨迹严格位于可行状态集内时,对流将保持不变。

我们在广泛的模拟中观察到,即使当状态轨迹与一组可行状态的边界相交时,结果仍然保持不变。这里不包括这一观察的证据,但将是未来论文的主题。值得注意的是,我们的对流结果与偶数[a(ω),b]可控有关。因此,只要保留此可控制性属性,它仍然适用于系统参数变化。这显然不是一个限制性条件,因为有理由期望行星着陆器的设计是可控制的。另一个重要问题是动态模型中未知参数变化或干扰力的不确定性。

在这里,我们提供了一种计算要遵循的最佳状态轨迹和相应的最佳控制的方法。虽然本文未涵盖,但应考虑采取反馈控制行动,以解决不确定的联系和干扰。我们可以提出几种方法来实现这一目标:

1)获得跟踪反馈,以跟踪最佳状态轨迹;

2)在操纵过程中更新状态知识(ESTI伙伴)时,重新计算最佳轨迹和控制;

3)跟踪反馈和最佳控制建议的组合。

所有行动都将利用目前对国家的最佳估计,并提供反馈行动,以尽量减少不确定性和干扰的影响。稳健反馈行动的设计将是我们当前论文的另一个未来扩展。
一个自然的问题是,这里的对流方法是否可以扩展到其他控制约束。[27]中提供了线性系统的一些新结果,其中该对流过程应用于广泛的控制约束。然而,对流利用了这样一个事实,即最佳控制位于松弛控制集的边界点,而不是极值点。根据当前关于放松集极值点的论文中获得的见解,可以进一步概括这种令人信服的方法,这可能是未来研究的主题。

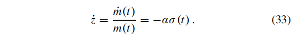
A.变量的变化

我们利用以下推力矢量和质量上变量的变化来消除动力学中的非线性


质量消耗动力学可以重写为:



因此,变量的变化产生了一组状态动力学的线性方程。然而,控制约束已不再是凸性的。这些现在是由



在[1]中,我们使用(35)中不等式的二阶锥近似,它可以很容易地纳入SOCP解决方案框架中,由



其中,z0(t) = ln(m0−αρ2t)和m0为航天器的初始质量。在[1,引理2]中,证明了(36)给出的(35)中不等式的近似总是产生松弛问题的可行解,并且对于不等式的两部分都是非常精确的,并导出了近似误差的解析上界。

由于本文的重点是控制约束的凸化,我们将不再进一步讨论这个近似的细节,并向读者参考[1]了解更多细节。

5 数值例子

本节给出了一个数值例子来演示上一节提出的解决行星软着陆问题的算法。行星软着陆中的指向约束确保了平移机动不要求航天器朝向所需的指向锥之外,这通常会导致性能的下降。例如,当指向约束收紧时,所需的燃料和飞行时间通常会增加。这个结果将在以下比较模拟中看到,利用以下属性:



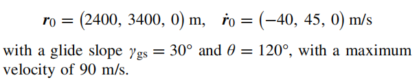
其中Tmax最大是最大推力幅度。推力极限与最小和最大油门水平分别为20%和80%相一致。使用如图1所示的参考系来表示火星的重力和旋转矢量,以及航天器在动力下降点火时的初始状态条件。模拟用的航天器的初始状态由





图6 三种不同指向约束下的仿真结果。(a)无约束的条件。(b) θ = 90°.(c) θ = 45°.问题4的最优解满足问题2的推力指向和幅度约束,如前两个图所示。最后一个图是每个解的位置轨迹。



图7 示例:具有滑动斜坡边界的一个触点和具有速度边界的两个触点。垂直时间剖面(第二行)的推力和推力角表明,对于问题1和2,推力矢量剖面是可行的,对流仍然保持,我们获得了软着陆问题的最佳解决方案。



表一:影响燃料使用和飞行时间的拧紧推力指向约束条件

目标着陆点在q = 0 m,这是制导架的原点。火星重力参数,也在同一坐标系中表示如下:



我们有ˆω=ω。对不同的点约束极限进行了三种仿真:

1)无约束;

2)90°约束;

3)45°约束。

这些模拟的结果如图6所示。从图中可以看出,指向角度相对于局部垂直方向,使指向锥ˆn向量沿坐标系x轴对齐。姿态指向图表明,松弛问题的解保证了满足原问题规定的指向约束。油门图显示,推力边界得到了满足,这表明问题4中对推力大小和指向的约束松弛对原问题[问题2]仍然有效。

该图对约束收紧时出现的绩效交易提供了一些进一步的见解。随着指向极限的收紧,所需的飞行时间和燃油增加,如表I所示,也可在位置轨迹中看到。图6的最后一个图覆盖了与先前图的三个推力轮廓一致的位置轨迹。45°案例超过了Y轴上的目标,以满足点约束。有趣的是,90°约束路径采取了更直接的路线。

接下来的模拟(见图7)给出了一种情况,即凸化与x边界的接触数有限。在这个例子中,我们有以下参数:



6 结论

本文提出了最佳控制理论中基准问题推力指向约束的无损对流,称为软着陆。这扩展并统一了我们之前在该领域的工作,因此算法可以处理推力、推力指向约束、位置和速度约束以及行星自转的上下边界。这种对流使行星软着陆问题能够通过使用凸优化得到最佳解决,并且仍然可以在计算复杂性和实时执行时间上先验地进行机载实现。

由于笔者时间和精力以及水平有限,一些地方的翻译会有问题,如详细研究,请下载论文原文《Lossless Convexifification of Nonconvex Control Bound and Pointing Constraints of the Soft Landing Optimal Control Problem》。

往期相关文章:

1. 导航制导与控制——猎鹰 9 号在动力下降和着陆过程中的控制算法

小编时间

码字不易

请大家动动发财的小手点点赞

大家有感兴趣的技术方向

可以评论区留言

持续为大家分享好文章♥
您需要登录后才可以回帖 登录 | 加入联盟

本版积分规则

快速回复 返回顶部 返回列表