登录
加入联盟
找回密码
航空人生
新一代连飞客户端下载
空管人生
中国航空运动协会推荐
WEFLY
模拟飞行玩家聊天工具
门户
文章
商城
二手市场
外包服务
模飞软件
硬件设备
飞行体验
学院
云课堂
问答
资料下载
论坛
模拟飞行
低空飞行
太空探索
星圈
资源
企业
太空探索论坛
»
论坛
›
太空穿越
›
卫星
›
基于TLE轨道参数确定卫星运动参数的方法 ...
返回列表
发新帖
查看:
1390
|
回复:
0
基于TLE轨道参数确定卫星运动参数的方法
[复制链接]
Leolisk
Leolisk
当前离线
积分
1757
窥视卡
雷达卡
59
主题
844
帖子
1757
积分
金牌飞友
金牌飞友, 积分 1757, 距离下一级还需 1243 积分
金牌飞友, 积分 1757, 距离下一级还需 1243 积分
积分
1757
飞币
912
注册时间
2017-9-20
发消息
发表于 2025-1-17 03:38:15
|
显示全部楼层
|
阅读模式
注:本文未加特别说明的物理量,均使用国际单位制(SI)中的单位,不加特殊说明的角度单位均采用弧度制。
一、开普勒行星运动定律
1.开普勒第一定律(Kepler’s First Law)
1.1文字表述:
每一个行星都沿各自的椭圆轨道环绕太阳,而太阳则处在椭圆的一个焦点中。
更严谨地说,这个太阳其实是泛指所有中心天体,对于人造地球卫星而言,这个所谓的“太阳”就是地球。
1.2开普勒第一定律的部分证明:
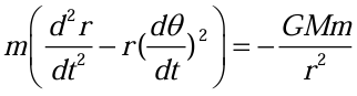
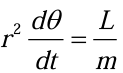
以中心天体为坐标原点建立极坐标系(r,θ),卫星质量为m,中心天体质量为M。
根据牛顿第二定律以及万有引力定律,得到:
卫星的角动量为:
由于卫星合力矩为0,故角动量守恒,L=const;
各方向的运动方程:
径向:
切向:
由角动量守恒得:
令
;
可将径向运动方程化为:
求解出该二阶常系数微分方程,通解为:
其中A,θ0为积分常数。不妨令θ0=0;
则
其中
在0<e<1时为椭圆轨道
因为是以中心天体为原点建立的坐标系,因此得到的圆锥曲线方程的焦点为中心天体,证毕。
2.开普勒第二定律(Kepler’s Second Law)
2.1文字表述:
太阳系中太阳和运动中的行星的连线(矢径)在相等的时间内扫过相等的面积。
2.2开普勒第二定律的证明:
角动量守恒方法:
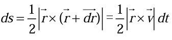
设卫星在极短的时间dt从A运动到点B,中心天体位于O点,三点围成三角形的面积为
所以
卫星角动量为
则有:
整理得到:
=const;
面积微分为常数,得证。
3.开普勒第三定律(Kepler’s Third Law)
3.1文字表述:
绕以太阳为焦点的椭圆轨道运行的所有行星,其各自椭圆轨道半长轴的立方与周期的平方之比是一个常量。
该定律证明过程可参照高中物理课本,在此不进行过多叙述。
二、基本轨道参数的说明
1.偏近点角(E):以椭圆轨道的中心为圆心,以椭圆的长半轴a为半径作辅助圆。星位于椭圆轨道上的P点时,过P点作垂直于长轴的直线与辅助圆交于P'点,从椭圆长轴的正方向开始,逆时针到OP'的角度。
偏近点角的计算,通常需要借助开普勒方程进行:E-esinE=M,该方程使用迭代法进行求解。
2.平近点角(M):假设卫星在椭圆轨道上以平均角速度n运动,从卫星经过近地点P开始计时,经过时间t后,卫星的平近点角M定义为M = n(t-t0),其中t0是卫星过近地点的时刻,平近点角反映了行星在平均运动意义下相对于近地点的位置角度。
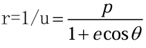
3.真近点角(f):在椭圆轨道中,以中心天体为中心,从近地点开始,沿卫星运动方向,到卫星所在位置的向量与近地点向量之间的夹角,它真实地反映了行星在椭圆轨道上相对于近地点的位置角度。计算公式:
4.平均运动(n):指天体在其轨道上绕中心天体运动的平均角速度。
5.升交点赤经(Ω):从春分点开始,沿天赤道向东度量到天体轨道升交点的角度。
6.近地点幅角(ω):在天体的轨道平面内,从升交点开始,沿天体运动方向,到近地点的角度.
三、TLE轨道参数各部分含义及其使用
下面给出一组TLE(Two-Line Element)轨道数据,并对其各部分进行解释
48274U 21035A 25009.73137974 .00031963 00000-0 36139-3 0 9990
48274 41.4658 264.5787 0003051 266.8858 93.1632 15.61762130 21139
第一行,从左至右的顺序
第一项
卫星国际编号,48274,U表示公开数据
第二项
2021年第35次发射任务的A星
第三项
表示2025年第9天的第0.73137974x24=17.55小时的时刻
第四项
平均运动对时间的一阶导数
第五项
平均运动对时间的二阶导数
第六项
阻力系数
第七项
表示轨道为近地轨道
第八项
参数编号
第九项
校验位
第二行,从左至右依次为
第一项
卫星国际编号
第二项
轨道倾角,单位为度
第三项
升交点赤经,单位为度
第四项
轨道偏心率,e=0.0003051
第五项
近地点幅角 ω=266.8858°
第六项
初始时刻平近点角M0=93.1632°
第七项
每日运动的圈数 15.61762130圈
第八项
从发射时到数据生成时刻运行总圈数:21139圈
TLE轨道数据能提供的数据能确定一个航天器任意时刻的具体位置,通过计算机程序或仿真可以得到长期较为准确的运动轨道。
四、二体运动中考虑地球非球形引力摄动的计算
大多数理论上对航天器轨道以及运动参数的计算都是以中心天体为质量分布均匀的球体为前提条件进行的运算,但在实际应用中,基本上所有天体都不是质量分布均匀的球体,而是不规则形状的近似球体,因此为追求计算精确度,该项的影响不可忽略。
对于受摄动的二体问题的运动方程可以表述为一般形式:
其中ε<<1,为小参数。
将任意时刻作用在卫星上的扰动加速度分解为三个正交方向R,T,W,这三个分量构成右手坐标系,可列出高斯型摄动方程,方程各式表示了轨道要素随时间变化率与R,T,W三个分量之间的关系,方程的具体表达式不再给出。
对于近地轨道,地球非球形摄动导致升交点赤经的变化率为:
其中Re为地球赤道半径,6378140m,e为轨道偏心率,a为轨道半长轴,i为轨道倾角。
除了地球非球形引力摄动以外,还存在太阳光压摄动,大气阻力摄动等因素的干扰,考虑三体问题时还有第三体引力摄动干扰,这些影响相对较小,对于精度要求不是很严格的场合,可以忽略。
五、星下点(Subsatellite Point)坐标的计算
卫星星下点是指航天器的地心矢径与地球表面的交点,用地心经纬度(λ,φ)表示。星下点轨迹指的是航天器星下点在地球表面的移动轨迹。天宫空间站的某时间段的星下点轨迹如图1所示
图1 某运行周期内天宫空间站的星下点轨迹
计算方式:
其中,u为纬度幅角,u=ω+f,ωe为地球自转角速度,αG0为起始时刻的格林尼治恒星时。
在实践过程中,个人更倾向于获得起始时刻太阳直射点的经纬度以及太阳的赤经,进行赤经与地理经度的转化。关键在于求出反正弦函数项,其余项可不求,通过简单的几何方法即可得到卫星星下点的经度。
六、卫星运动参数与轨道参数的计算
1.运行速度的计算:
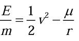
对于绕地球进行圆周运动的人造地球卫星,在不考虑微小摄动力的作用的情况下,可以看作机械能守恒,基于此原理得到椭圆轨道上卫星的瞬时速度,推导过程如下:
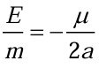
对卫星所受地球的万有引力表达式进行积分,得到引力势能,并与动能相加,得到总能量表达式为
在轨道平面内,总能量的表达式也可以写为
;
联立上述二式并整理,得到速度关于航天器地心矢径模长的函数:
r为卫星与地心之间的距离,即地心矢径的模长。
2.轨道近地点(Perigee)与远地点(Apogee)的计算:
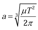
根据TLE轨道数据提供的信息,我们不难得到卫星绕地球运行一圈所需时间,即运行周期,根据开普勒第三定律的相关推导,在已知运行周期T的情况下,椭圆轨道半长轴a的数学表达式为
周期T的单位应当换算成国际单位秒(s),得到半长轴a的单位为米(m)
由TLE轨道参数获得轨道偏心率,在椭圆中,偏心率定义为
那么近地点矢径模长为
;
同理远地点矢径模长为
;
地球半径R即为近地点高度和远地点高度。上述物理量为间接求得,结合直接由TLE轨道数据获得的轨道参数即可得到卫星轨道的完整参数。
七、附录
一些常量:
万有引力常量:G≈6.67x10-11m3/s2·kg
地球引力常数:μ=GM=3.98x1014m3/s2+
地球平均半径:R=6371000m
地球赤道半径:Re=6378140m
地球自转角速度:7.27x10-5rad/s
由于个人水平有限,如存在错误或不严谨之处,欢迎各位指正。
TLE
,
参数
,
基于
,
轨道
,
确定
相关帖子
•
Space X使用猎鹰9号执行今年第二次登月发射,B1083-9将月球探测器雅典娜、月球开拓者,小行星探测器奥丁号,奇美拉静止轨道一号,共4艘航天器分别送进轨道
•
人造地球卫星绕地球沿椭圆形轨道运行时,卫星位置在离地球中心最近...
•
...北斗系统的卫星主要由地球静止轨道卫星、()、中圆地球轨道卫星...
•
...和北斗普全买导航系统的多颗地球同步卫星(运行轨道离地面的高度约为3.6
•
【中文】火箭实验室发射的CAPSTONE月球探测器作用何在,什么是近直线晕轮轨道?-Scott Manley
•
在低轨道运行的人造卫星,由于受到空气阻力的作用,卫星的轨道半径...
•
【2025.3.31日】特朗普称有办法开启“第三任期”,并威胁对伊朗发动空袭;土耳其抗议愈演愈烈,推动埃尔多安下台;欧洲首个轨道运载火箭失败
•
太空轨道划分
•
比较一下低轨道,中轨道,高轨道,同步轨道卫星的宣笔朝高度。排序并给出具体...
•
轨道低于地球同步卫星的一颗卫星,它的周期与地球周期相比,哪个大呢?
回复
使用道具
举报
提升卡
置顶卡
沉默卡
喧嚣卡
变色卡
千斤顶
照妖镜
返回列表
发新帖
高级模式
B
Color
Image
Link
Quote
Code
Smilies
您需要登录后才可以回帖
登录
|
加入联盟
本版积分规则
发表回复
回帖后跳转到最后一页
浏览过的版块
视频专区
航天娱乐和爱好
空间站
天体物理
其它星系
运载火箭
小行星和彗星
航天飞机
月球
快速回复
返回顶部
返回列表