登录
加入联盟
找回密码
航空人生
新一代连飞客户端下载
空管人生
中国航空运动协会推荐
WEFLY
模拟飞行玩家聊天工具
门户
文章
商城
二手市场
外包服务
模飞软件
硬件设备
飞行体验
学院
云课堂
问答
资料下载
论坛
模拟飞行
低空飞行
太空探索
星圈
资源
企业
太空探索论坛
»
论坛
›
太空热点
›
视频专区
›
时空的几何与动力学 | 宇宙学
返回列表
发新帖
查看:
14236
|
回复:
3
时空的几何与动力学 | 宇宙学
[复制链接]
青岛奥湾影像
青岛奥湾影像
当前离线
积分
1655
窥视卡
雷达卡
464
主题
583
帖子
1655
积分
金牌飞友
金牌飞友, 积分 1655, 距离下一级还需 1345 积分
金牌飞友, 积分 1655, 距离下一级还需 1345 积分
积分
1655
飞币
1070
注册时间
2017-7-30
发消息
发表于 2024-12-30 06:33:26
|
显示全部楼层
|
阅读模式
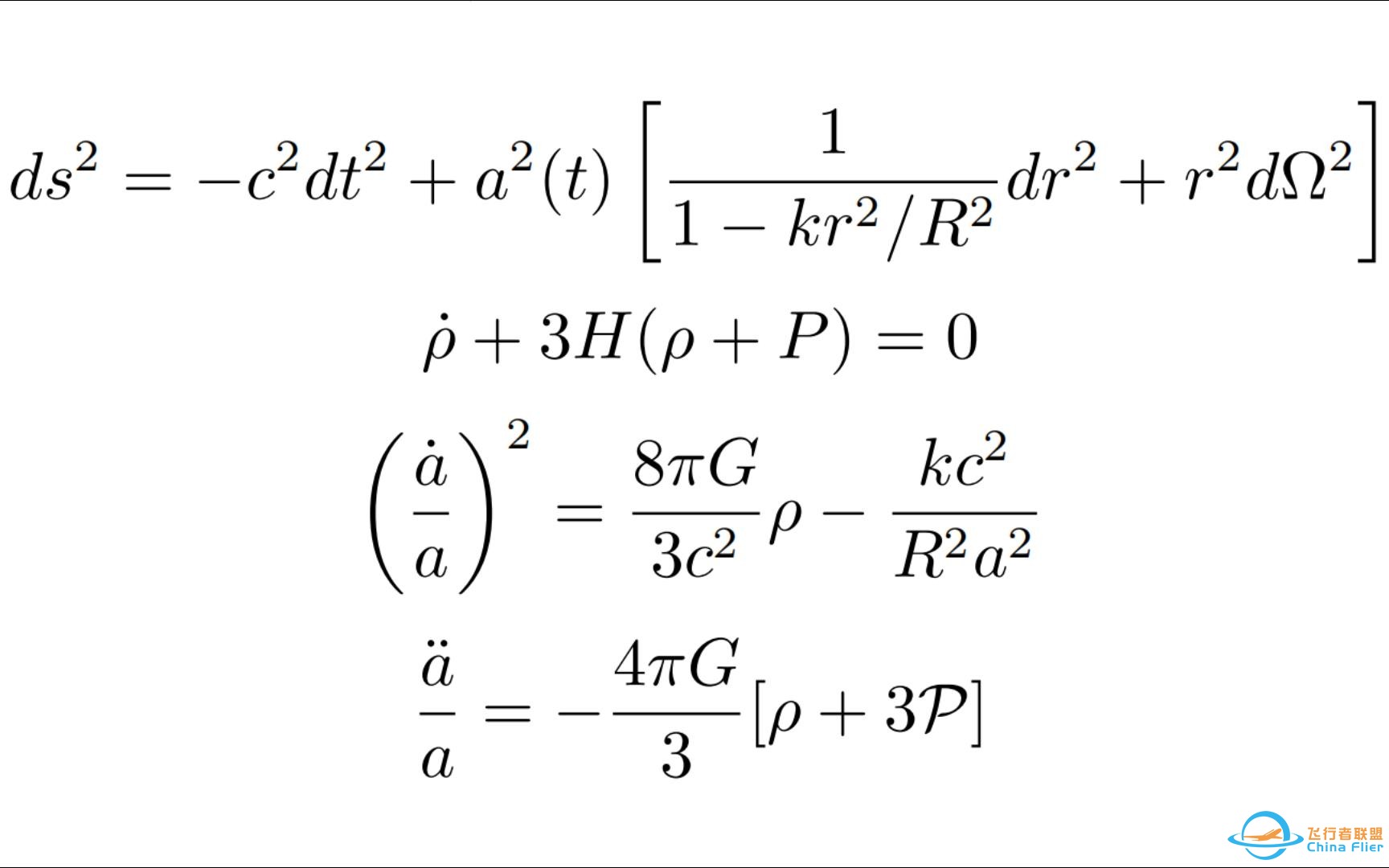
我试着讲了一些宇宙学的基础内容,关于宇宙学中的时空。希望可以对大家有所帮助。内容大纲如下:· 时空的几何部分涉及了:FRW 度规、Hubble 定律、宇宙学红移的推导,宇宙年龄和可观测宇宙大小的估算,并介绍了一些概念。· 时空的动力学部分涉及了:物质的状态方程、连续性方程、Friedmann 方程的推导,同时补充了一些Riemann 几何的计算细节。
时空与几何pdf
回复
使用道具
举报
提升卡
置顶卡
沉默卡
喧嚣卡
变色卡
千斤顶
照妖镜
nczhangyun
nczhangyun
当前离线
积分
1815
窥视卡
雷达卡
71
主题
856
帖子
1815
积分
金牌飞友
金牌飞友, 积分 1815, 距离下一级还需 1185 积分
金牌飞友, 积分 1815, 距离下一级还需 1185 积分
积分
1815
飞币
948
注册时间
2017-8-19
发消息
发表于 2024-12-30 06:39:05
|
显示全部楼层
这不是天体物理的图吗?
回复
支持
反对
使用道具
举报
照妖镜
瞬云无人机
瞬云无人机
当前离线
积分
1695
窥视卡
雷达卡
50
主题
824
帖子
1695
积分
金牌飞友
金牌飞友, 积分 1695, 距离下一级还需 1305 积分
金牌飞友, 积分 1695, 距离下一级还需 1305 积分
积分
1695
飞币
856
注册时间
2017-8-18
发消息
发表于 2024-12-30 06:47:05
|
显示全部楼层
sooll
回复
支持
反对
使用道具
举报
照妖镜
18511580320
18511580320
当前离线
积分
1913
窥视卡
雷达卡
60
主题
932
帖子
1913
积分
金牌飞友
金牌飞友, 积分 1913, 距离下一级还需 1087 积分
金牌飞友, 积分 1913, 距离下一级还需 1087 积分
积分
1913
飞币
979
注册时间
2017-8-16
发消息
发表于 2024-12-30 06:57:25
|
显示全部楼层
牛的[点赞]
回复
支持
反对
使用道具
举报
照妖镜
返回列表
发新帖
高级模式
B
Color
Image
Link
Quote
Code
Smilies
您需要登录后才可以回帖
登录
|
加入联盟
本版积分规则
发表回复
回帖后跳转到最后一页
浏览过的版块
太空探测器
航天飞机
运载火箭
火星
卫星
天体物理
航天娱乐和爱好
其它星系
木星
快速回复
返回顶部
返回列表